Hentaixxx

主页 政务公开 渝快办 互动交流 专题专栏
主页 >政务公开>政府信息公开目录>价格信息 > 价格政策

重庆市物价局 重庆市价格协会转发关于表彰年度价格理论宣传先进集体及先进个人做好《价格理论与实践》杂志

日期: 2013-11-28
字体:

重庆市物价局  重庆市价格协会

转发关于表彰年度价格理论宣传先进集体及

先进个人做好《价格理论与实践》

杂志发行工作的通知的通知

 

20131128 渝价〔2013386

 

各区县发改委、价格协会:

 现将国家发改委价格司、中国价格协会中价协字【201334号,《关于表彰年度价格理论宣传先进集体及先进个人做好〈价格理论与实践〉杂志发行工作的通知》的通知转发你们,请你们按要求指派一名同志负责协助该刊在辖区内的征订组织工作,并于1210以前将订阅情况报重庆市价格协会。

 联 系 人:李平

 联系电话:67503208(办公室兼传真)

           13618277306(手机)

 特此通知

 

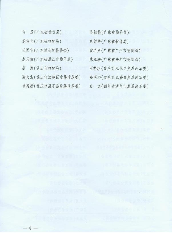
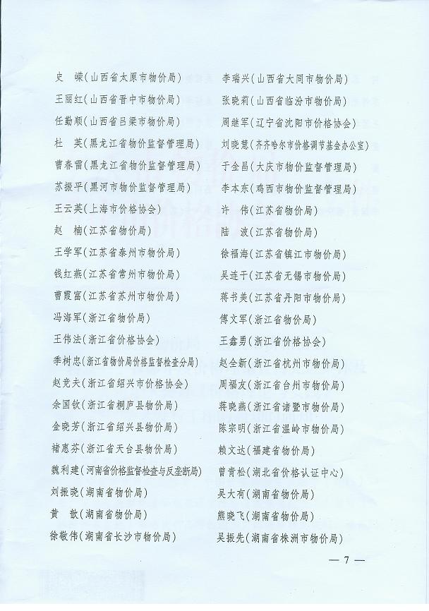
附:关于表彰年度价格理论宣传先进集体及先进个人做好《价格理论与实践》杂志发行工作的通知

返回顶部