Hentaixxx

主页 政务公开 渝快办 互动交流 专题专栏
主页 >政务公开>政府信息公开目录>价格信息 > 价格政策

重庆市物价局关于转发《国家发改委、国家烟草专卖局关于2008年烟叶收购价格政策的通知》的通知

日期: 2008-04-08
字体:

重庆市物价局关于

转发《国家发改委、国家烟草专卖局关于

2008年烟叶收购价格政策的通知》的通知

 

二○○八年三月二十七日 渝价〔2008134

 

各区县(自治县)物价局:

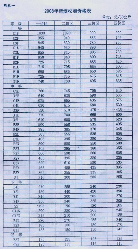
为引导农民合理安排烟叶生产,促进烟叶生产稳定发展,保持烟叶供求总量平衡和等级结构的不断改善,国家发改委、国家烟草专卖局联合下发了《关于2008年烟叶收购价格政策的通知》(发改价格[2008]733号)。现将通知转发给你们,请即贯彻执行。在执行过程中遇到相关问题及时报告我局。

 

附件:国家发改委、国家烟草专卖局关于2008年烟叶收购价格政策的通知

返回顶部